Overview

[1] [2] [3]

Back        Forward

Overview

[1] [2] [3]

Back        Forward

Overview

[1] [2] [3]

Back        Forward

Raw fits file and map fits file

26-Mar-2014:20:01:59_reload.fits

26-Mar-2014:20:01:59_reload_map.fits


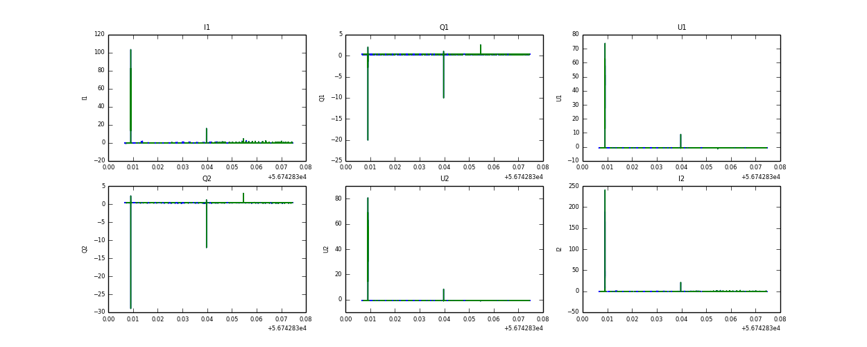
Raw channel data