Overview

[1] [2] [3]

Back        Forward

Overview

[1] [2] [3]

Back        Forward

Overview

[1] [2] [3]

Back        Forward

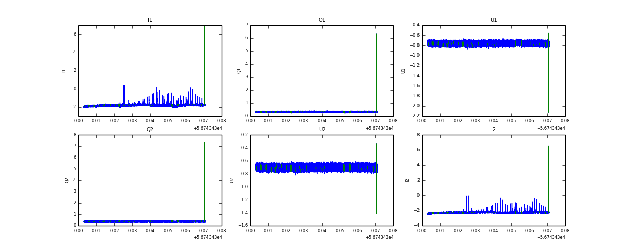
Raw fits file and map fits file

27-Mar-2014:10:20:48_reload.fits

27-Mar-2014:10:20:48_reload_map.fits


Raw channel data