Overview

[1] [2] [3]

Back        Forward

Overview

[1] [2] [3]

Back        Forward

Overview

[1] [2] [3]

Back        Forward

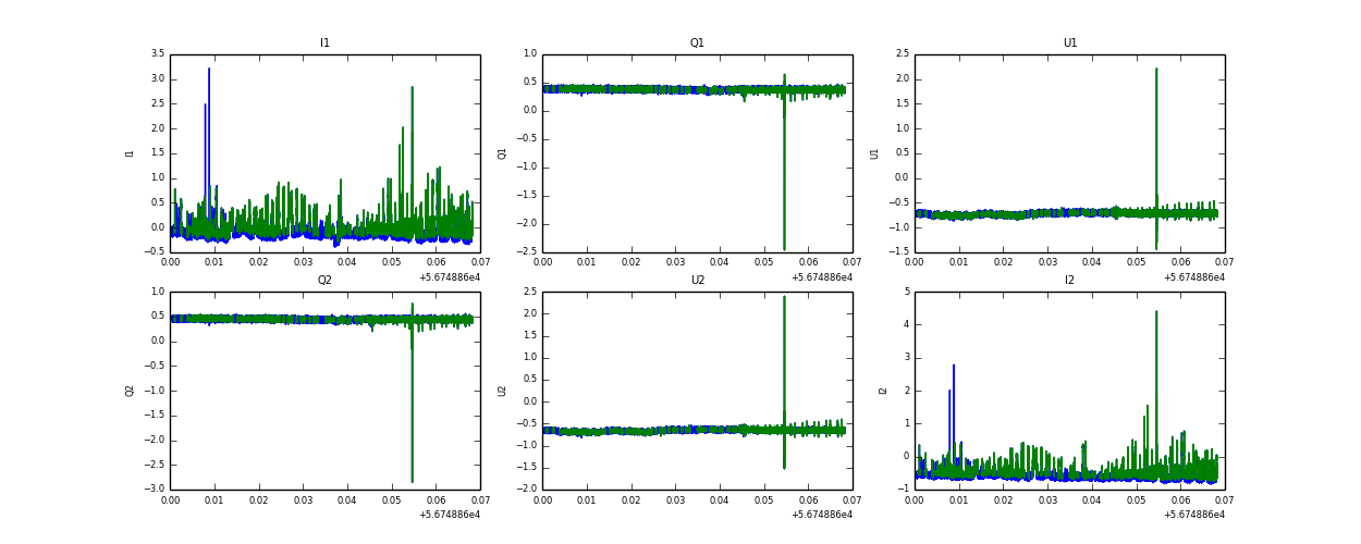
Raw fits file and map fits file

01-Apr-2014:20:36:19_reload.fits

01-Apr-2014:20:36:19_reload_map.fits


Raw channel data