Overview

[1] [2] [3]

Back        Forward

Overview

[1] [2] [3]

Back        Forward

Overview

[1] [2] [3]

Back        Forward

Raw fits file and map fits file

11-Apr-2014:06:18:35_reload.fits

11-Apr-2014:06:18:35_reload_map.fits


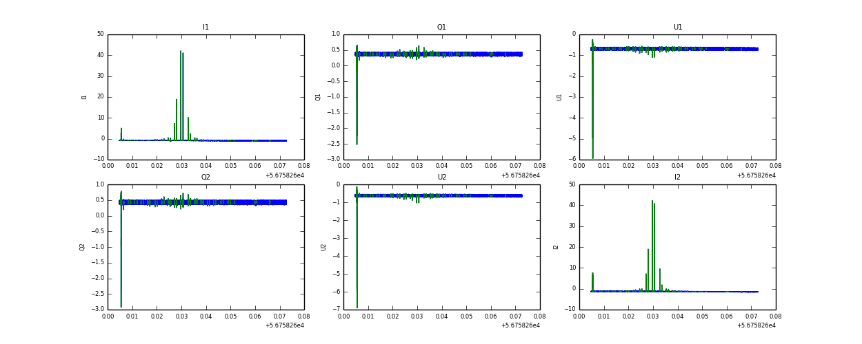
Raw channel data