Overview

[1] [2] [3]

Back        Forward

Overview

[1] [2] [3]

Back        Forward

Overview

[1] [2] [3]

Back        Forward

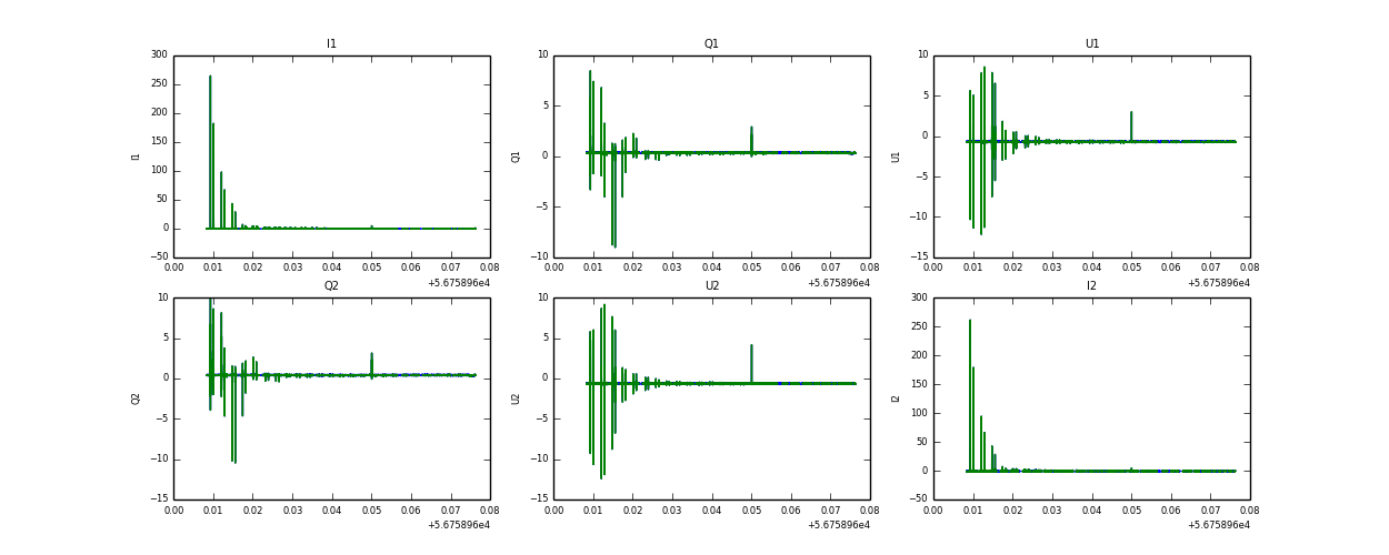
Raw fits file and map fits file

11-Apr-2014:23:11:41_reload.fits

11-Apr-2014:23:11:41_reload_map.fits


Raw channel data