Overview

[1] [2] [3]

Back        Forward

Overview

[1] [2] [3]

Back        Forward

Overview

[1] [2] [3]

Back        Forward

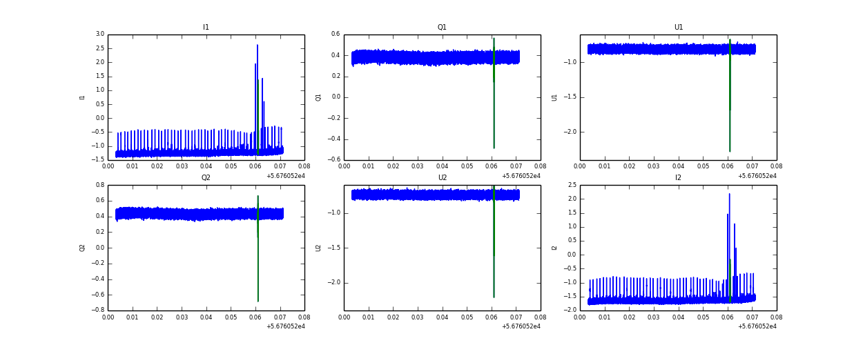
Raw fits file and map fits file

13-Apr-2014:12:30:55_reload.fits

13-Apr-2014:12:30:55_reload_map.fits


Raw channel data