Overview

[1] [2] [3]

Back        Forward

Overview

[1] [2] [3]

Back        Forward

Overview

[1] [2] [3]

Back        Forward

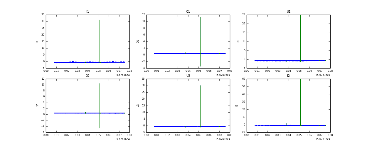
Raw fits file and map fits file

14-Apr-2014:14:32:24_reload.fits

14-Apr-2014:14:32:24_reload_map.fits


Raw channel data