Overview

[1] [2] [3]

Back        Forward

Overview

[1] [2] [3]

Back        Forward

Overview

[1] [2] [3]

Back        Forward

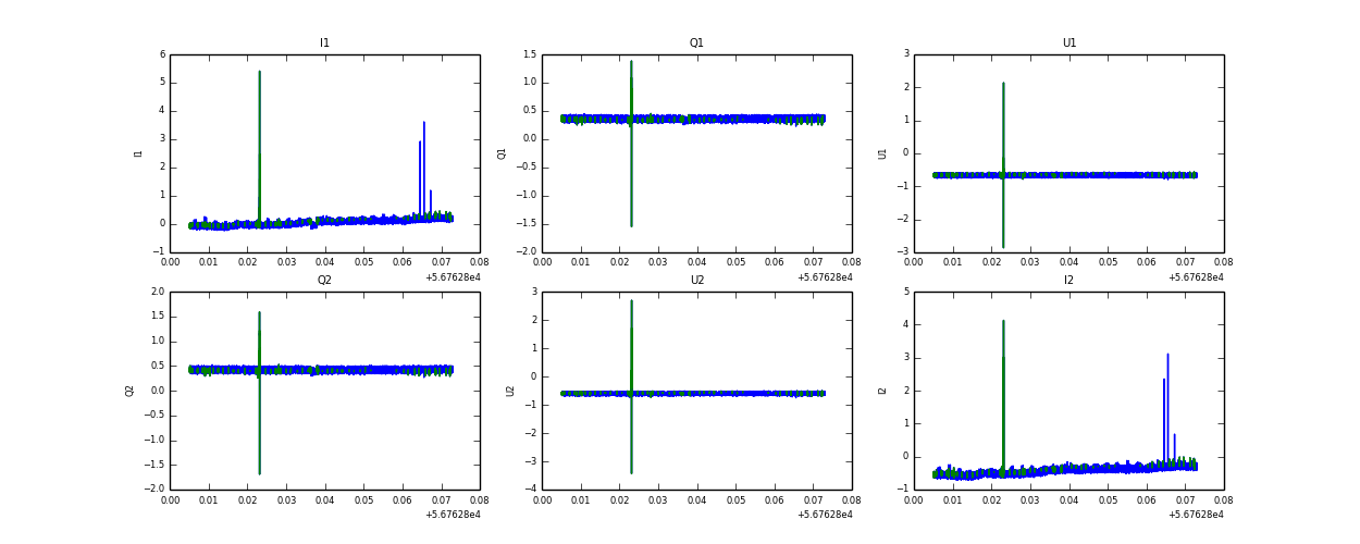
Raw fits file and map fits file

15-Apr-2014:19:16:39_reload.fits

15-Apr-2014:19:16:39_reload_map.fits


Raw channel data