Overview

[1] [2] [3]

Back        Forward

Overview

[1] [2] [3]

Back        Forward

Overview

[1] [2] [3]

Back        Forward

Raw fits file and map fits file

21-Apr-2014:16:25:19_reload.fits

21-Apr-2014:16:25:19_reload_map.fits


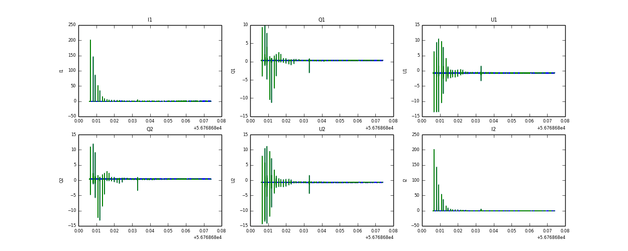
Raw channel data