Overview

[1] [2] [3]

Back        Forward

Overview

[1] [2] [3]

Back        Forward

Overview

[1] [2] [3]

Back        Forward

Raw fits file and map fits file

22-Apr-2014:16:51:55_reload.fits

22-Apr-2014:16:51:55_reload_map.fits


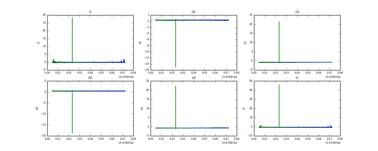
Raw channel data