Overview

[1] [2] [3]

Back        Forward

Overview

[1] [2] [3]

Back        Forward

Overview

[1] [2] [3]

Back        Forward

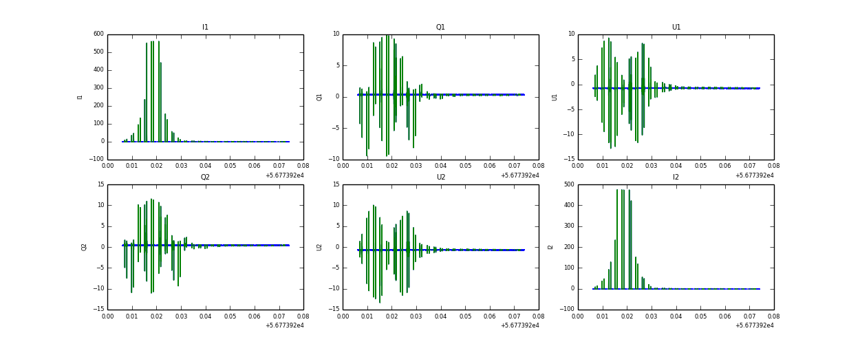
Raw fits file and map fits file

26-Apr-2014:22:10:53_reload.fits

26-Apr-2014:22:10:53_reload_map.fits


Raw channel data