Overview

[1] [2] [3]

Back        Forward

Overview

[1] [2] [3]

Back        Forward

Overview

[1] [2] [3]

Back        Forward

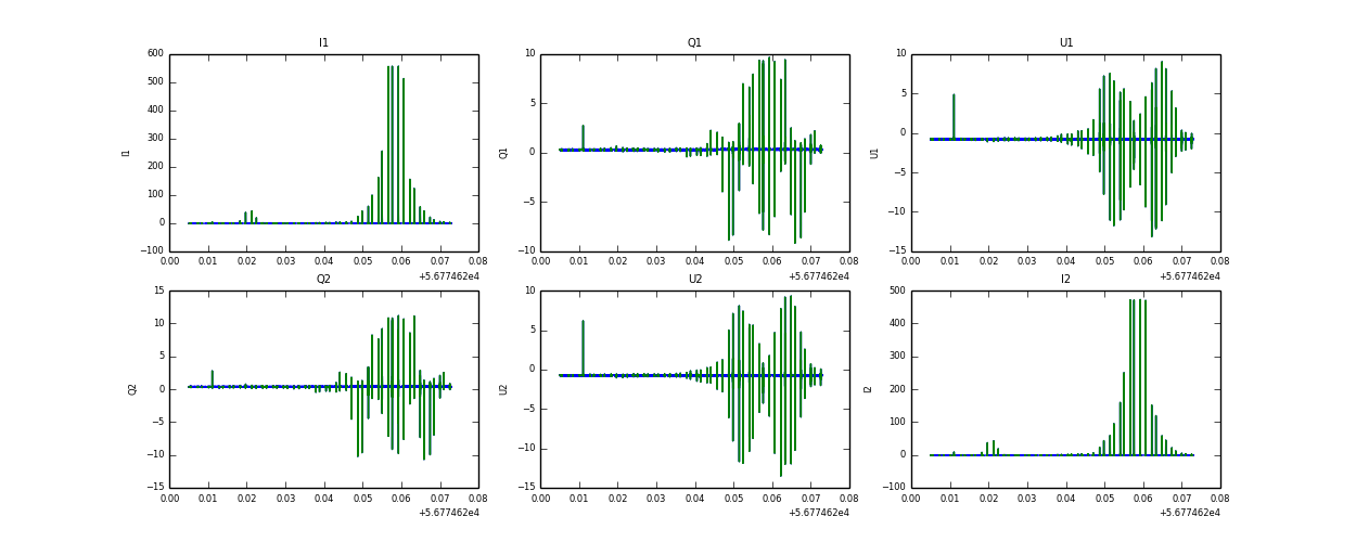
Raw fits file and map fits file

27-Apr-2014:14:57:22_reload.fits

27-Apr-2014:14:57:22_reload_map.fits


Raw channel data