Overview

[1] [2] [3]

Back        Forward

Overview

[1] [2] [3]

Back        Forward

Overview

[1] [2] [3]

Back        Forward

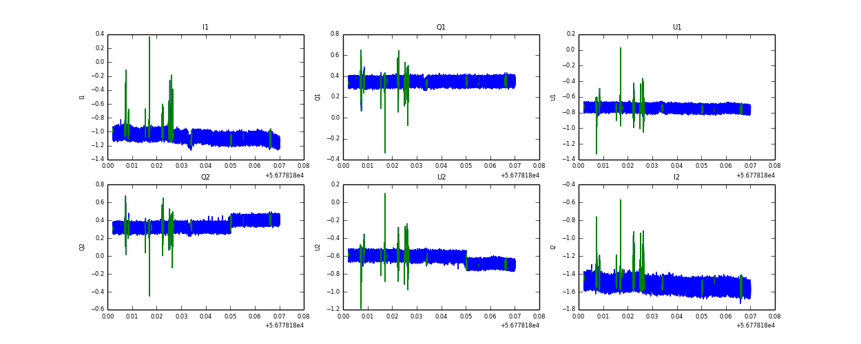
Raw fits file and map fits file

01-May-2014:04:19:34_reload.fits

01-May-2014:04:19:34_reload_map.fits


Raw channel data