Overview

[1] [2] [3]

Back        Forward

Overview

[1] [2] [3]

Back        Forward

Overview

[1] [2] [3]

Back        Forward

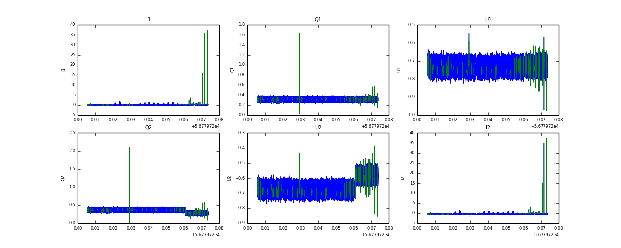
Raw fits file and map fits file

02-May-2014:17:22:26_reload.fits

02-May-2014:17:22:26_reload_map.fits


Raw channel data