Overview

[1] [2] [3]

Back        Forward

Overview

[1] [2] [3]

Back        Forward

Overview

[1] [2] [3]

Back        Forward

Raw fits file and map fits file

14-May-2014:10:05:39_reload.fits

14-May-2014:10:05:39_reload_map.fits


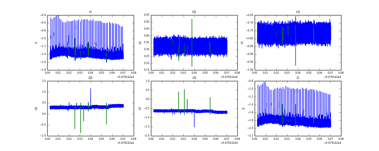
Raw channel data