Overview

[1] [2] [3]

Back        Forward

Overview

[1] [2] [3]

Back        Forward

Overview

[1] [2] [3]

Back        Forward

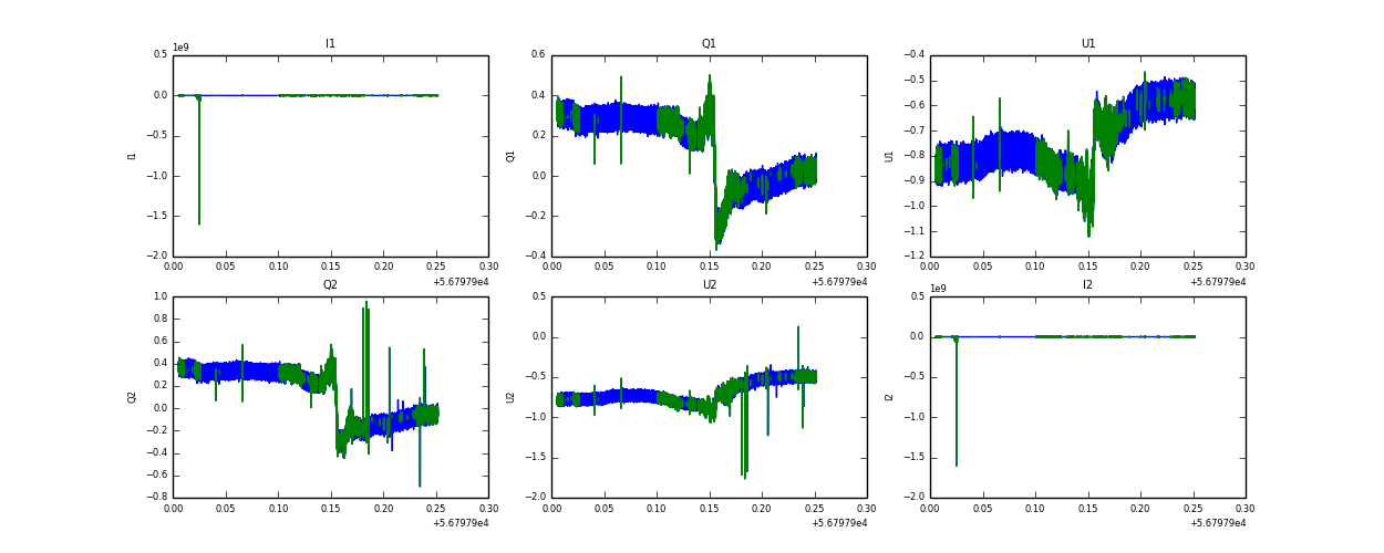
Raw fits file and map fits file

20-May-2014:21:41:25_reload.fits

20-May-2014:21:41:25_reload_map.fits


Raw channel data