Overview

[1] [2] [3]

Back        Forward

Overview

[1] [2] [3]

Back        Forward

Overview

[1] [2] [3]

Back        Forward

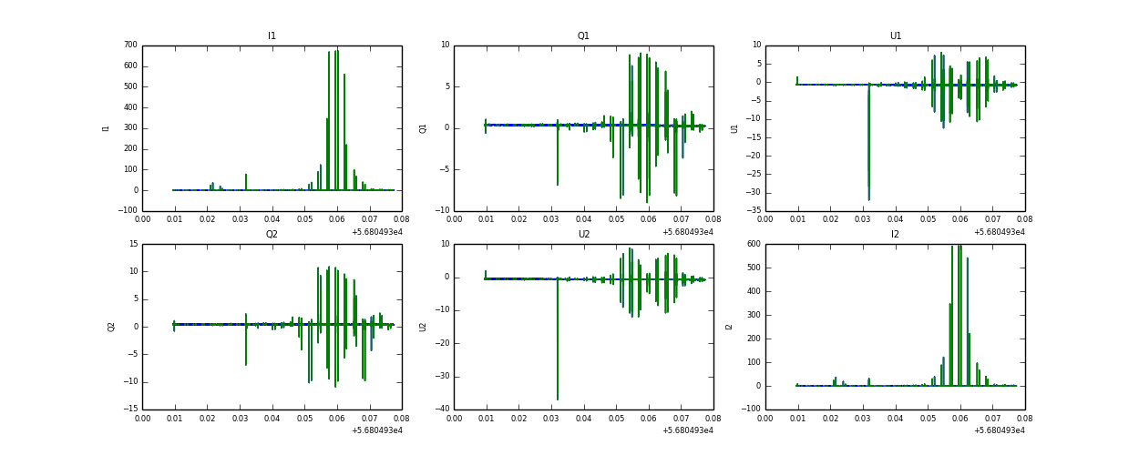
Raw fits file and map fits file

27-May-2014:22:30:09_reload.fits

27-May-2014:22:30:09_reload_map.fits


Raw channel data