Overview

[1] [2] [3]

Back        Forward

Overview

[1] [2] [3]

Back        Forward

Overview

[1] [2] [3]

Back        Forward

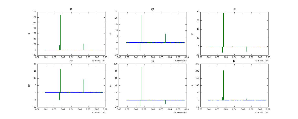
Raw fits file and map fits file

29-May-2014:04:15:30_reload.fits

29-May-2014:04:15:30_reload_map.fits


Raw channel data