Overview

[1] [2] [3]

Back        Forward

Overview

[1] [2] [3]

Back        Forward

Overview

[1] [2] [3]

Back        Forward

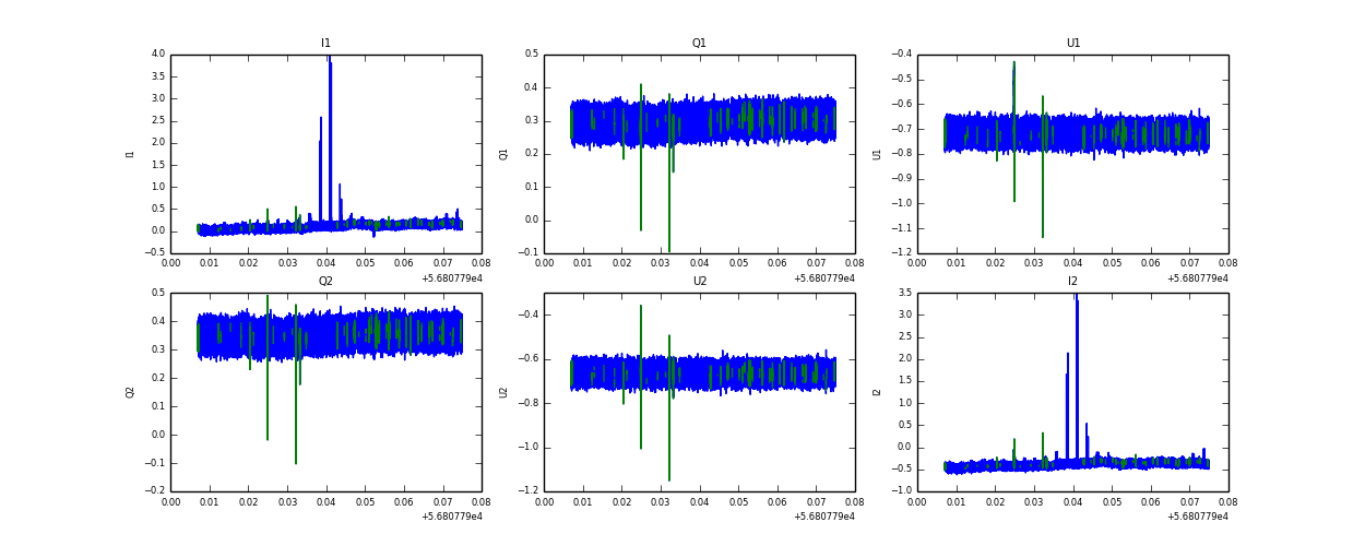
Raw fits file and map fits file

30-May-2014:19:05:02_reload.fits

30-May-2014:19:05:02_reload_map.fits


Raw channel data