Overview

[1] [2] [3]

Back        Forward

Overview

[1] [2] [3]

Back        Forward

Overview

[1] [2] [3]

Back        Forward

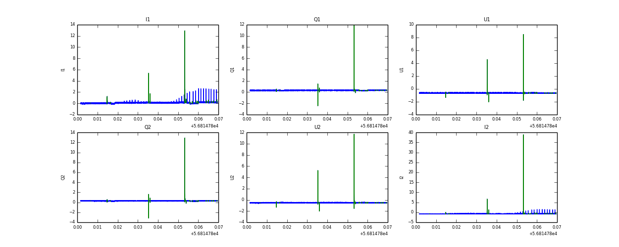
Raw fits file and map fits file

06-Jun-2014:18:42:49_reload.fits

06-Jun-2014:18:42:49_reload_map.fits


Raw channel data