Overview

[1] [2] [3]

Back        Forward

Overview

[1] [2] [3]

Back        Forward

Overview

[1] [2] [3]

Back        Forward

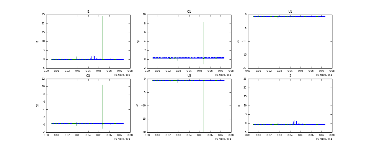
Raw fits file and map fits file

08-Jun-2014:17:07:31_reload.fits

08-Jun-2014:17:07:31_reload_map.fits


Raw channel data