Overview

[1] [2] [3]

Back        Forward

Overview

[1] [2] [3]

Back        Forward

Overview

[1] [2] [3]

Back        Forward

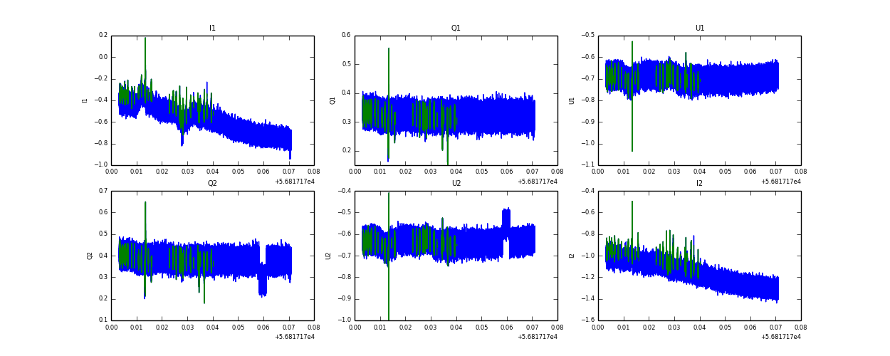
Raw fits file and map fits file

09-Jun-2014:04:06:40_reload.fits

09-Jun-2014:04:06:40_reload_map.fits


Raw channel data