Overview

[1] [2] [3]

Back        Forward

Overview

[1] [2] [3]

Back        Forward

Overview

[1] [2] [3]

Back        Forward

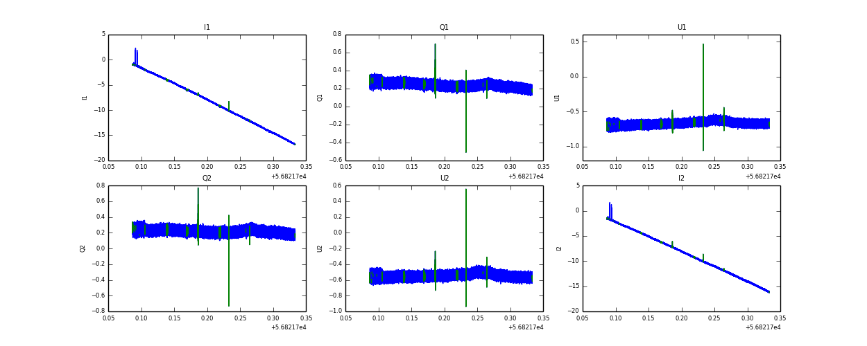
Raw fits file and map fits file

13-Jun-2014:18:50:20_reload.fits

13-Jun-2014:18:50:20_reload_map.fits


Raw channel data