Overview

[1] [2] [3]

Back        Forward

Overview

[1] [2] [3]

Back        Forward

Overview

[1] [2] [3]

Back        Forward

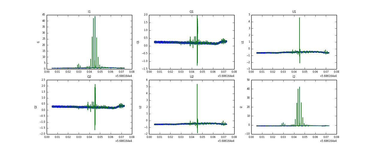
Raw fits file and map fits file

23-Jul-2014:15:26:07_reload.fits

23-Jul-2014:15:26:07_reload_map.fits


Raw channel data