Overview

[1] [2] [3]

Back        Forward

Overview

[1] [2] [3]

Back        Forward

Overview

[1] [2] [3]

Back        Forward

Raw fits file and map fits file

29-Jul-2014:03:56:19_reload.fits

29-Jul-2014:03:56:19_reload_map.fits


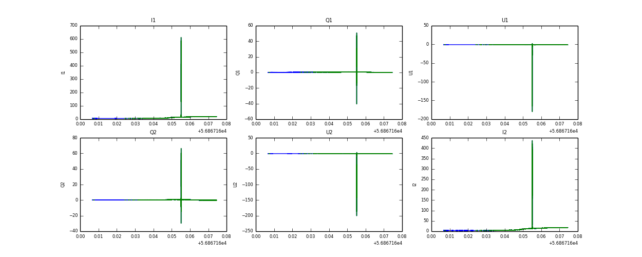
Raw channel data