Overview

[1] [2] [3]

Back        Forward

Overview

[1] [2] [3]

Back        Forward

Overview

[1] [2] [3]

Back        Forward

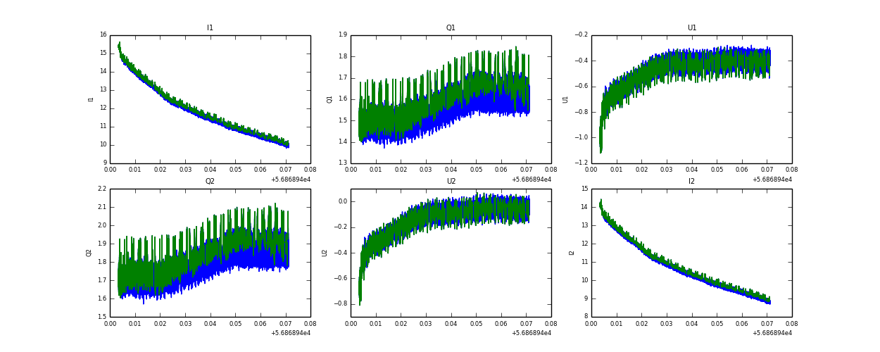
Raw fits file and map fits file

30-Jul-2014:22:34:53_reload.fits

30-Jul-2014:22:34:53_reload_map.fits


Raw channel data