Overview

[1] [2] [3]

Back        Forward

Overview

[1] [2] [3]

Back        Forward

Overview

[1] [2] [3]

Back        Forward

Raw fits file and map fits file

31-Jul-2014:02:09:03_reload.fits

31-Jul-2014:02:09:03_reload_map.fits


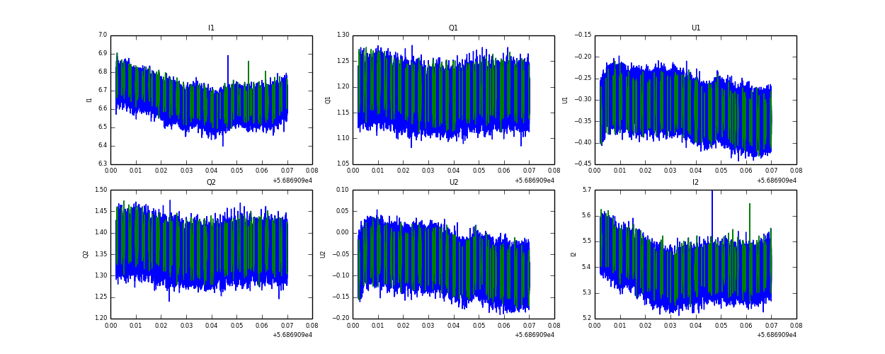
Raw channel data