Overview

[1] [2] [3]

Back        Forward

Overview

[1] [2] [3]

Back        Forward

Overview

[1] [2] [3]

Back        Forward

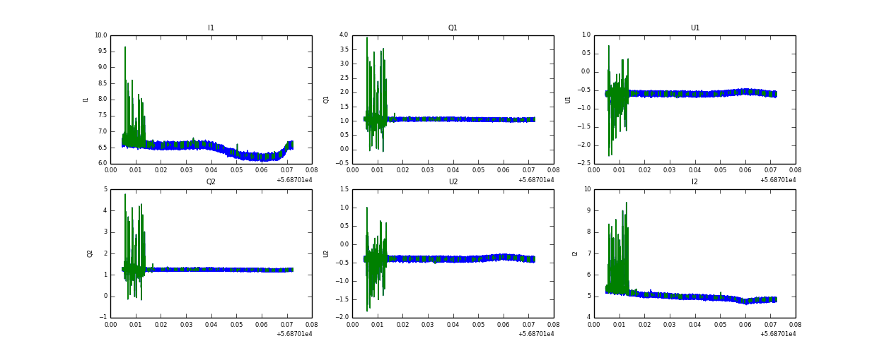
Raw fits file and map fits file

01-Aug-2014:02:27:10_reload.fits

01-Aug-2014:02:27:10_reload_map.fits


Raw channel data