Overview

[1] [2] [3]

Back        Forward

Overview

[1] [2] [3]

Back        Forward

Overview

[1] [2] [3]

Back        Forward

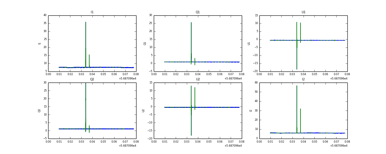
Raw fits file and map fits file

01-Aug-2014:23:12:55_reload.fits

01-Aug-2014:23:12:55_reload_map.fits


Raw channel data