Overview

[1] [2] [3]

Back        Forward

Overview

[1] [2] [3]

Back        Forward

Overview

[1] [2] [3]

Back        Forward

Raw fits file and map fits file

03-Aug-2014:18:31:50_reload.fits

03-Aug-2014:18:31:50_reload_map.fits


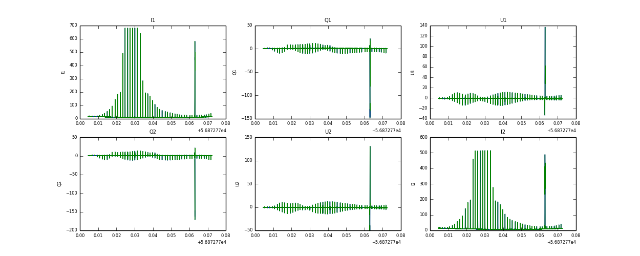
Raw channel data