Overview

[1] [2] [3]

Back        Forward

Overview

[1] [2] [3]

Back        Forward

Overview

[1] [2] [3]

Back        Forward

Raw fits file and map fits file

04-Aug-2014:03:26:22_reload.fits

04-Aug-2014:03:26:22_reload_map.fits


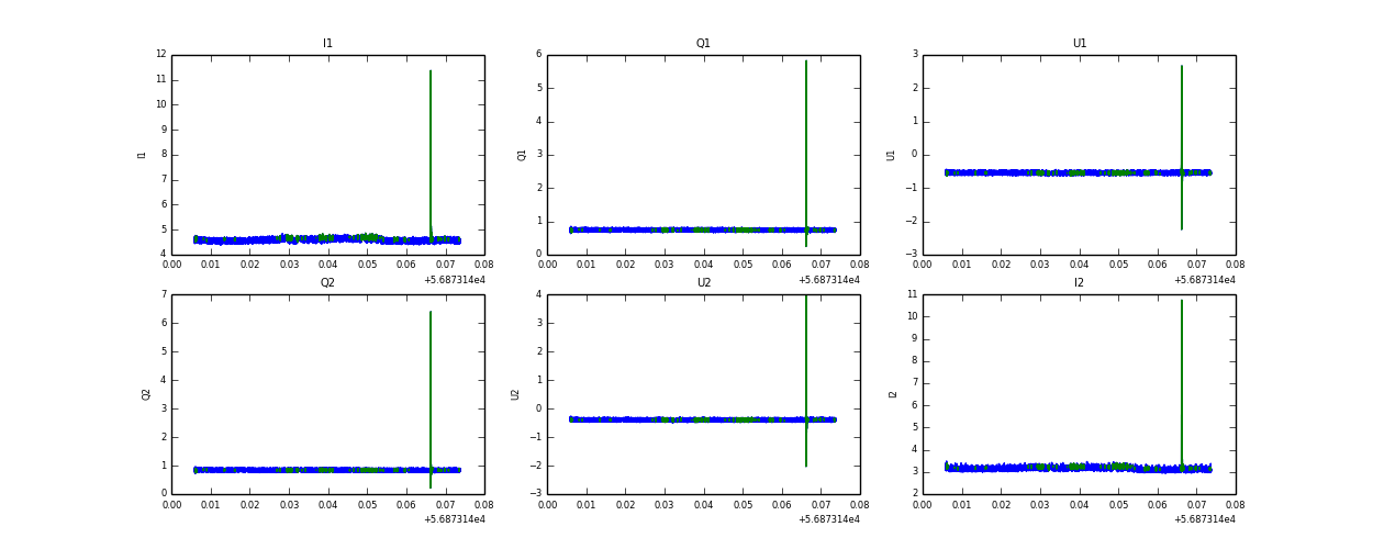
Raw channel data