Overview

[1] [2] [3]

Back        Forward

Overview

[1] [2] [3]

Back        Forward

Overview

[1] [2] [3]

Back        Forward

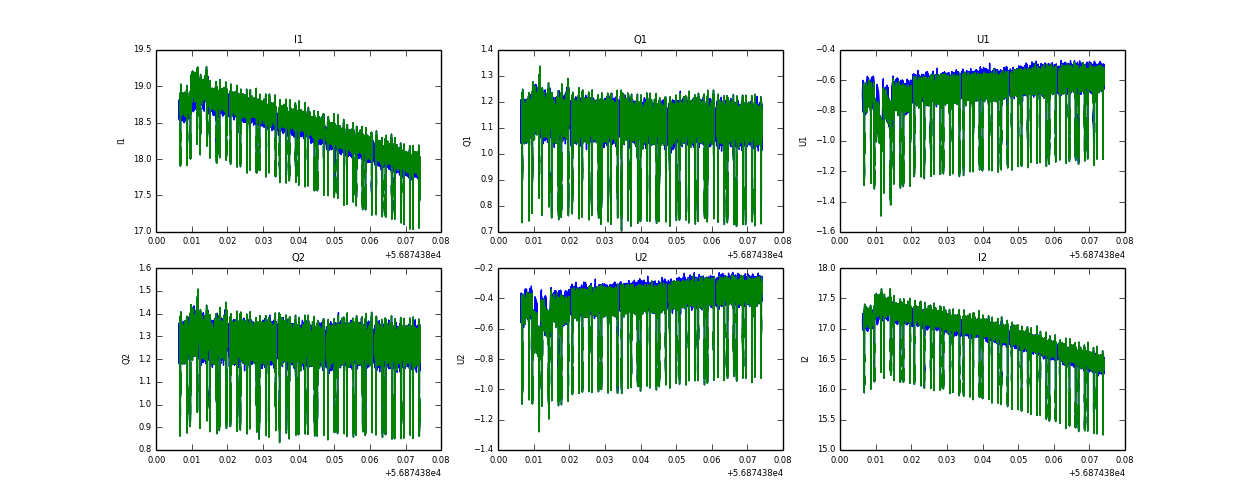
Raw fits file and map fits file

05-Aug-2014:09:12:38_reload.fits

05-Aug-2014:09:12:38_reload_map.fits


Raw channel data