Overview

[1] [2] [3]

Back        Forward

Overview

[1] [2] [3]

Back        Forward

Overview

[1] [2] [3]

Back        Forward

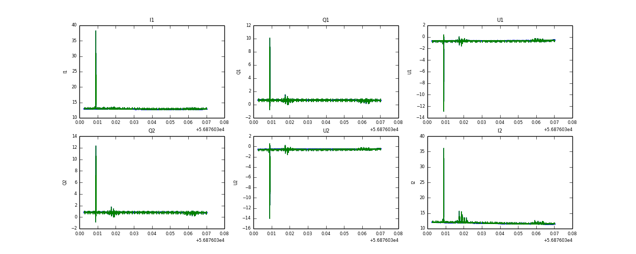
Raw fits file and map fits file

07-Aug-2014:00:43:16_reload.fits

07-Aug-2014:00:43:16_reload_map.fits


Raw channel data