Overview

[1] [2] [3]

Back        Forward

Overview

[1] [2] [3]

Back        Forward

Overview

[1] [2] [3]

Back        Forward

Raw fits file and map fits file

07-Aug-2014:12:14:38_reload.fits

07-Aug-2014:12:14:38_reload_map.fits


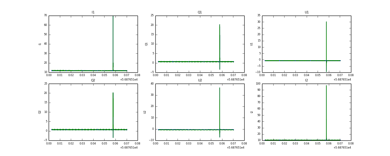
Raw channel data