Overview

[1] [2] [3]

Back        Forward

Overview

[1] [2] [3]

Back        Forward

Overview

[1] [2] [3]

Back        Forward

Raw fits file and map fits file

09-Aug-2014:14:54:19_reload.fits

09-Aug-2014:14:54:19_reload_map.fits


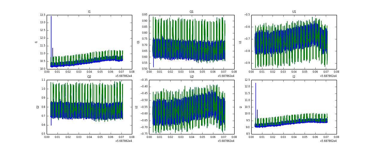
Raw channel data