Overview

[1] [2] [3]

Back        Forward

Overview

[1] [2] [3]

Back        Forward

Overview

[1] [2] [3]

Back        Forward

Raw fits file and map fits file

11-Aug-2014:20:21:35_reload.fits

11-Aug-2014:20:21:35_reload_map.fits


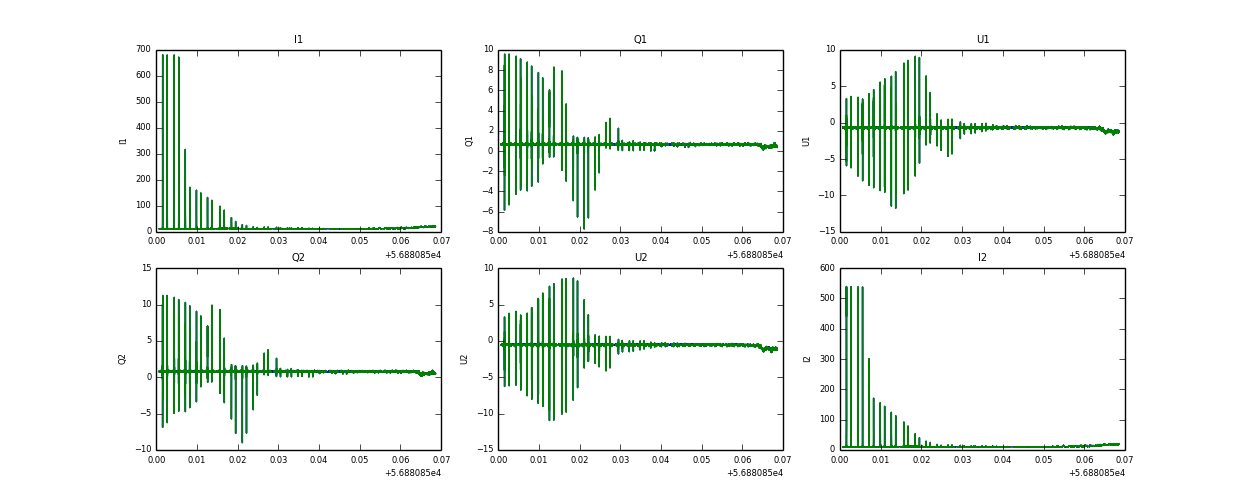
Raw channel data