Overview

[1] [2] [3]

Back        Forward

Overview

[1] [2] [3]

Back        Forward

Overview

[1] [2] [3]

Back        Forward

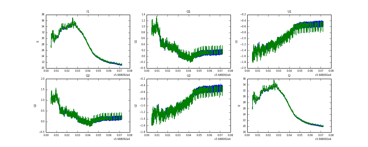
Raw fits file and map fits file

11-Aug-2014:22:07:50_reload.fits

11-Aug-2014:22:07:50_reload_map.fits


Raw channel data