Overview

[1] [2] [3]

Back        Forward

Overview

[1] [2] [3]

Back        Forward

Overview

[1] [2] [3]

Back        Forward

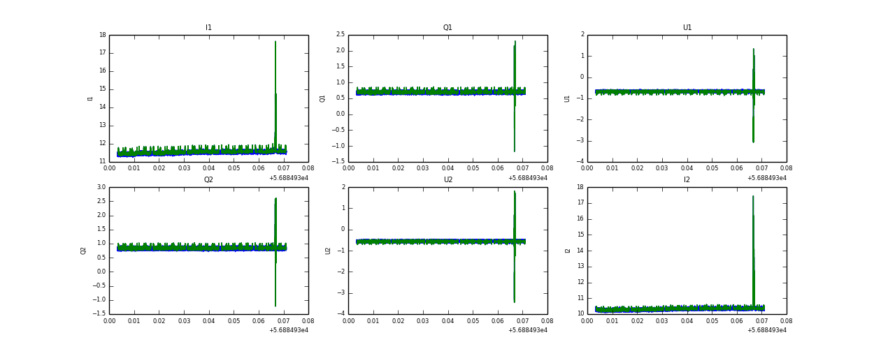
Raw fits file and map fits file

15-Aug-2014:22:20:25_reload.fits

15-Aug-2014:22:20:25_reload_map.fits


Raw channel data