Overview

[1] [2] [3]

Back        Forward

Overview

[1] [2] [3]

Back        Forward

Overview

[1] [2] [3]

Back        Forward

Raw fits file and map fits file

20-Aug-2014:04:11:41_reload.fits

20-Aug-2014:04:11:41_reload_map.fits


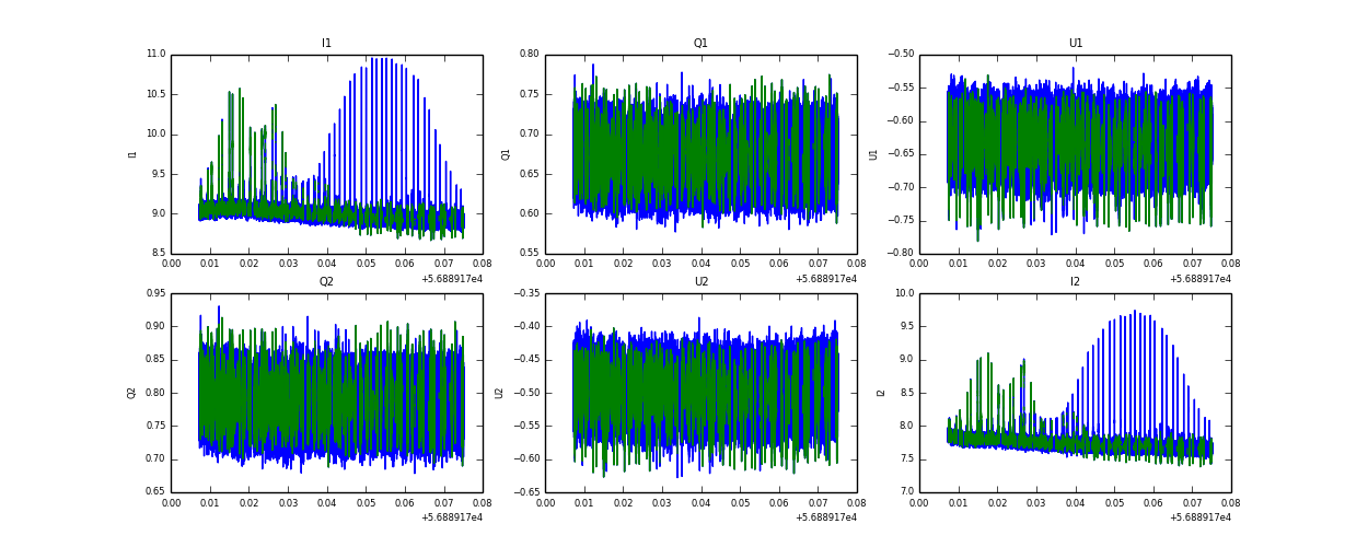
Raw channel data