Overview

[1] [2] [3]

Back        Forward

Overview

[1] [2] [3]

Back        Forward

Overview

[1] [2] [3]

Back        Forward

Raw fits file and map fits file

22-Aug-2014:20:03:24_reload.fits

22-Aug-2014:20:03:24_reload_map.fits


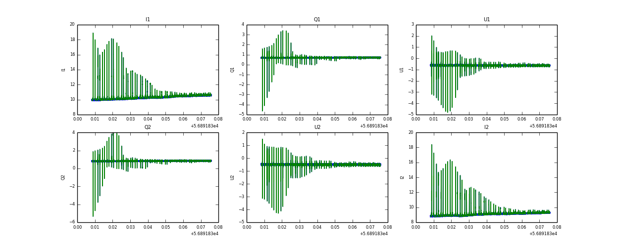
Raw channel data