Overview

[1] [2] [3]

Back        Forward

Overview

[1] [2] [3]

Back        Forward

Overview

[1] [2] [3]

Back        Forward

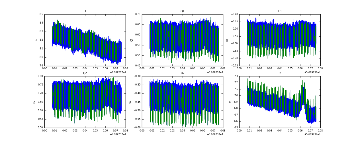
Raw fits file and map fits file

23-Aug-2014:09:00:27_reload.fits

23-Aug-2014:09:00:27_reload_map.fits


Raw channel data