Overview

[1] [2] [3]

Back        Forward

Overview

[1] [2] [3]

Back        Forward

Overview

[1] [2] [3]

Back        Forward

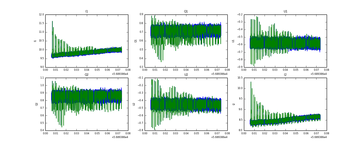
Raw fits file and map fits file

24-Aug-2014:20:43:30_reload.fits

24-Aug-2014:20:43:30_reload_map.fits


Raw channel data