Overview

[1] [2] [3]

Back        Forward

Overview

[1] [2] [3]

Back        Forward

Overview

[1] [2] [3]

Back        Forward

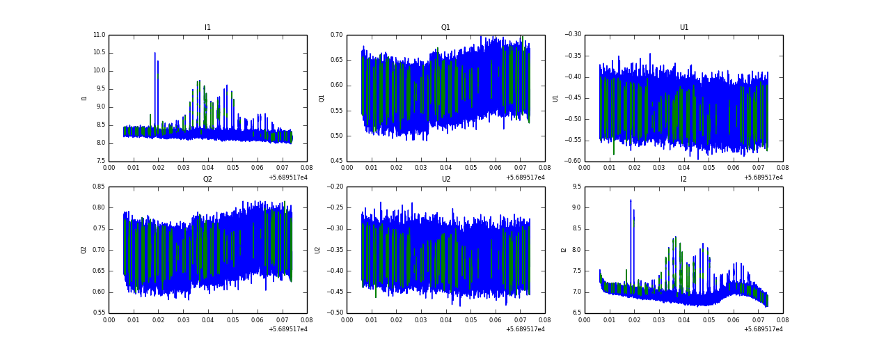
Raw fits file and map fits file

26-Aug-2014:04:09:53_reload.fits

26-Aug-2014:04:09:53_reload_map.fits


Raw channel data