Overview

[1] [2] [3]

Back        Forward

Overview

[1] [2] [3]

Back        Forward

Overview

[1] [2] [3]

Back        Forward

Raw fits file and map fits file

27-Aug-2014:00:48:26_reload.fits

27-Aug-2014:00:48:26_reload_map.fits


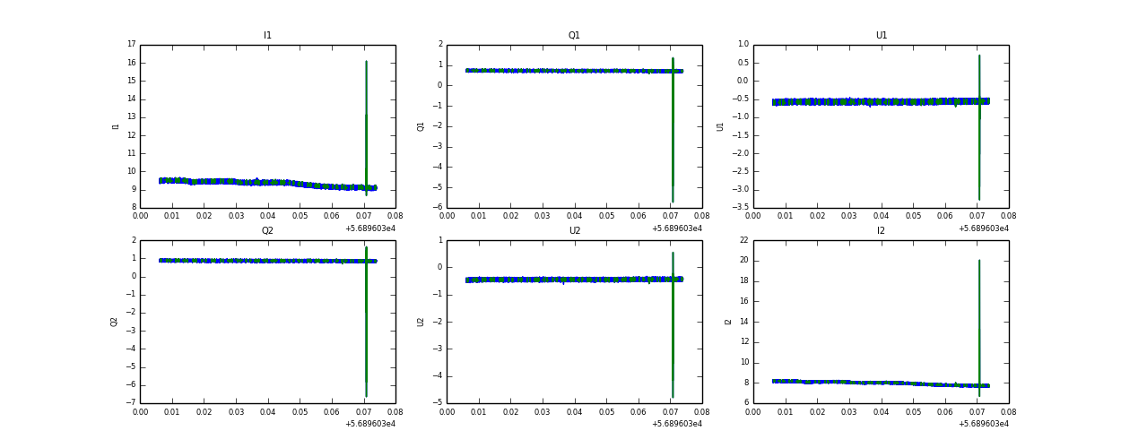
Raw channel data