Overview

[1] [2] [3]

Back        Forward

Overview

[1] [2] [3]

Back        Forward

Overview

[1] [2] [3]

Back        Forward

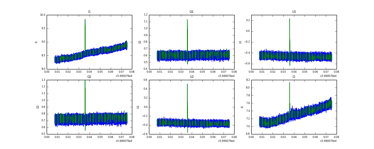
Raw fits file and map fits file

31-Aug-2014:19:04:51_reload.fits

31-Aug-2014:19:04:51_reload_map.fits


Raw channel data