Overview

[1] [2] [3]

Back        Forward

Overview

[1] [2] [3]

Back        Forward

Overview

[1] [2] [3]

Back        Forward

Raw fits file and map fits file

01-Sep-2014:00:32:55_reload.fits

01-Sep-2014:00:32:55_reload_map.fits


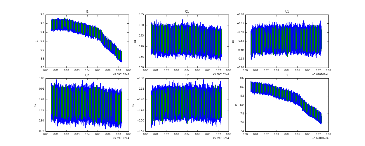
Raw channel data