Overview

[1] [2] [3]

Back        Forward

Overview

[1] [2] [3]

Back        Forward

Overview

[1] [2] [3]

Back        Forward

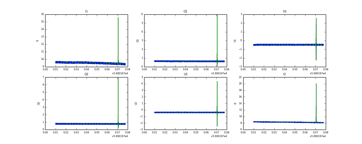
Raw fits file and map fits file

01-Sep-2014:23:27:26_reload.fits

01-Sep-2014:23:27:26_reload_map.fits


Raw channel data