Overview

[1] [2] [3]

Back        Forward

Overview

[1] [2] [3]

Back        Forward

Overview

[1] [2] [3]

Back        Forward

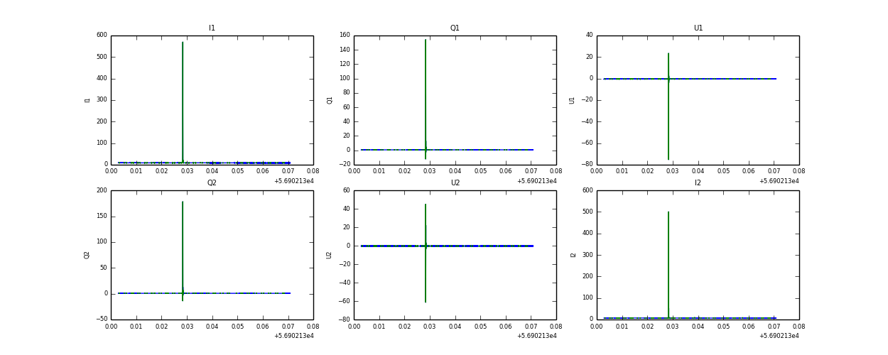
Raw fits file and map fits file

02-Sep-2014:03:07:42_reload.fits

02-Sep-2014:03:07:42_reload_map.fits


Raw channel data