Overview

[1] [2] [3]

Back        Forward

Overview

[1] [2] [3]

Back        Forward

Overview

[1] [2] [3]

Back        Forward

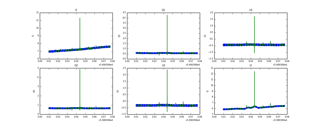
Raw fits file and map fits file

03-Sep-2014:16:43:51_reload.fits

03-Sep-2014:16:43:51_reload_map.fits


Raw channel data