Overview

[1] [2] [3]

Back        Forward

Overview

[1] [2] [3]

Back        Forward

Overview

[1] [2] [3]

Back        Forward

Raw fits file and map fits file

03-Sep-2014:18:38:55_reload.fits

03-Sep-2014:18:38:55_reload_map.fits


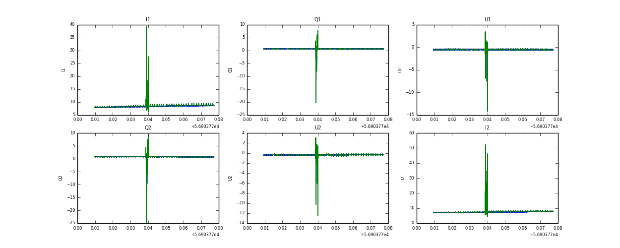
Raw channel data